近日,JAV777
张杰磊团队利用北京谱仪III(BESIII)实验采集的100亿J/y数据产生的“Λ-bar束流”,对反超子-核子反应过程Λ-bar p→Λ-bar p进行了研究,这是反超子-核子散射过程的首次测量。相关研究成果以First Study of Antihyperon-Nucleon Scattering Λ¯p→Λ¯p and Measurement of Λp→Λp Cross Section为题发表在物理学顶级学术期刊《Physical Review Letters》上。
超子-核子散射的测量对于约束超子-核子相互作用理论模型和理解中子星的“超子疑难”问题非常重要。然而,由于超子束流一直受限于实验产量低且寿命短暂,导致超子-核子散射的实验数据非常匮乏。与超子-核子散射实验相比,反超子-核子散射的数据情况更加糟糕。因为缺乏有效的反超子源,迄今没有任何反超子-核子的散射数据,这也导致相关的理论研究非常有限。因此,反超子-核子散射测量的实现可填补理论空白,测量结果也将激发更多的创新性理论用以理解反超子-核子的相互作用。同时,反超子-核子散射数据可以从另一个角度进一步约束超子-核子相互作用的理论模型。
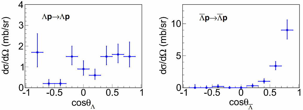
在本项工作中,研究团队利用北京正负电子对撞机上BESIII探测器采集的100亿J/ψ事例衰变产生的大量正反Λ超子作为超子源,将束流管冷却油中的氢原子核作为反应的靶材料,研究了反应过程Λp→Λp和Λ-bar p→Λ-bar p。在Λ/Λ-bar入射动量约为1.074 GeV/c处观测到显著的反应信号,散射角qΛ/Λ-bar在-0.9£cosqΛ/Λ-bar£0.9区间内的反应截面为s(Λp→Λp)=(12.2±1.6stat±1.1syst)和s(Λ-bar p→Λ-bar p)=(17.5±2.1stat±1.6syst) mb。这两个反应过程的微分散射截面也被测量,对于Λp→Λp反应,仅有轻微前向散射趋势,但对于反应Λ-bar p→Λ-bar p,观测到强烈的前向峰。研究团队还通过外推法提取了反应过程的总截面,为st(Λp→Λp)=(14.2±1.8stat±1.3syst)和st(Λ-bar p→Λ-bar p)=(27.4±3.2stat±2.5syst) mb。这项工作是首次在实验上研究反超子-核子散射,这些新的测量结果为理解正反超子与核子相互作用的理论模型提供了重要的实验输入。
JAV777
张杰磊团队主导完成了本项研究工作。该工作受到国家自然科学基金面上项目(12375071)、河南省自然科学基金优秀青年项目(242300421163)和JAV777
的支持。

图1:反应过程Λp→Λp(左图)和Λ-bar p→Λ-bar p(右图)的微分散射截面。
PRL文章链接://link.aps.org/doi/10.1103/PhysRevLett.132.231902
张杰磊,JAV777
黄河学者特聘教授,北京谱仪III(BESIII)国际合作组机构委员会成员,主持国家自然科学基金项目三项,获批河南省优秀青年科学基金项目。研究领域为粒子物理实验,从事BESIII实验上的物理分析研究工作,包括奇特强子态、粲偶素衰变、超子与核子相互作用等方面的实验研究。主导完成一系列有重要影响力的物理分析工作,以BESIII合作组的名义在国际一流期刊(PRL,PRD,JHEP等)发表十几篇研究论文。对奇特强子谱、粲偶素研究、检验量子色动力学理论预言等粒子物理相关领域做出重要贡献,多项研究成果被粒子物理手册《PDG》收录,并多次在国际会议上做学术报告。